• Предмет: Математика
  • Автор: Nastya278000000
  • Вопрос задан 3 года назад

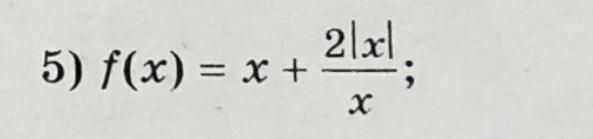
Докажите, что функция является нечётной. Срочно, пожалуйста!!!

Приложения:

Ответы

Ответ дал: zanerkekenzegali00
0

Ответ:

f'(x)=1

Пошаговое объяснение:

.........................

Вас заинтересует