СРОЧНО!!!
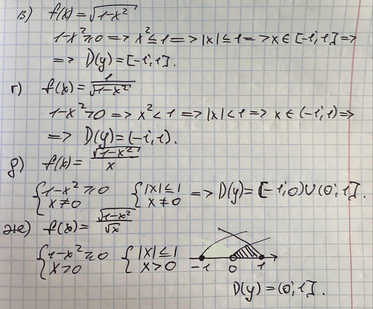
найти область определения следующих функций: в)f(x)=√1-x2 г)f(x)=1/√1-x2 д)f(x)=√1-x2/x ж)f(x)=√1-x2/√x
Ответы
Ответ дал:
1
...................................
Приложения:

meruetkenzeken:
БОЛЬШОЕ СПАСИБО
Вас заинтересует
2 года назад
2 года назад
2 года назад
7 лет назад
9 лет назад