• Предмет: Математика
  • Автор: TerraLike
  • Вопрос задан 3 года назад

Решите, пожалуйста:)

Приложения:

Ответы

Ответ дал: dyexfnf
1

Ответ:

Пошаговое объяснение:

(75 : 4 1/6 - 3 9/23 * 3)(1 5/18 + 0,35 - 11/15) * 1,4 = 8,4

1) 75 : 4 1/6 = 75 : 26/6 = 75 * 6/25 = 18

2) 3 9/23 * 3 = 78/23 * 3 = 234/23 = 10 4/23

3) 18 - 10 4/23 = 17 23/23 - 10 4/23 = 7 19/23

4) 1 5/18 + 0,35 = 1 5/18 + 7/20 = 1 50/180 + 63/180 = 1 113/180

5) 1 113/180 - 11/15 = 1 113/180 - 132/180 = 293/180 - 132/180 = 161/180

6) 7 19/23 * 161/180 = 180/23 * 161/180 = 7

7) 7 * 1,4 = 8,4

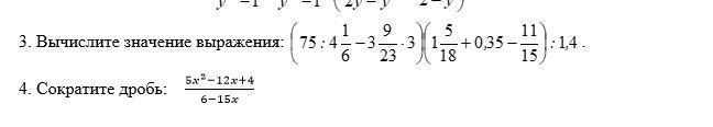
№4

(5х² -12х+4)/6-15х = (5х² -10х -2х +4)/6-15х = ((5х² -10х) -(2х-4))/3(2-5х)=            = (5х *(х-2) - 2(х-2))/3(2-5х) = (5х-2)(х-2)/-3(5х-2) = -1/3(х-2)

Вас заинтересует