• Предмет: Алгебра
  • Автор: pnl461977
  • Вопрос задан 3 года назад

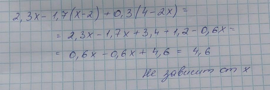
Довести, що значення виразу 2,3x - 1,7(x-2) + 0,3(4 - 2x) не залежить від х.​

Ответы

Ответ дал: cor1eone
2

Доброго времени суток. Решение во вложении

Приложения:
Вас заинтересует