• Предмет: Алгебра
  • Автор: Dashkiti
  • Вопрос задан 3 года назад

СРОЧНООООО
10.Розв'яжіть рiвняння (х² + 4x)(x² + 4x + 3)=10​

Ответы

Ответ дал: dtnth
1

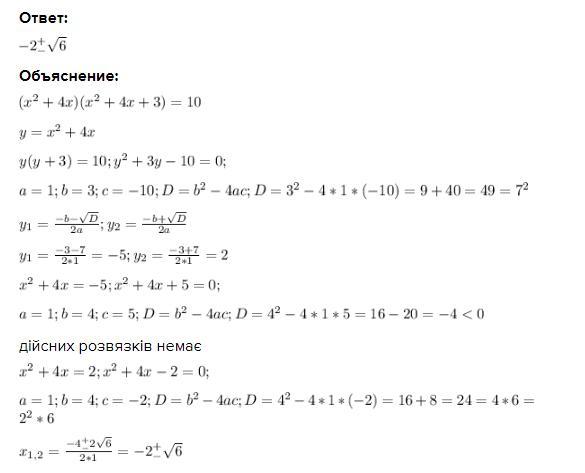
Ответ:

-2^+_-\sqrt{6}

Объяснение:

(x^2+4x)(x^2+4x+3)=10

y=x^2+4x

y(y+3)=10; y^2+3y-10=0;

a=1;b=3;c=-10;D=b^2-4ac;D=3^2-4*1*(-10)=9+40=49=7^2

y_1=\frac{-b-\sqrt{D}}{2a};y_2=\frac{-b+\sqrt{D}}{2a}

y_1=\frac{-3-7}{2*1}=-5;y_2=\frac{-3+7}{2*1}=2

x^2+4x=-5;x^2+4x+5=0;

a=1;b=4;c=5;D=b^2-4ac;D=4^2-4*1*5=16-20=-4<0

дійсних розвязків немає

x^2+4x=2;x^2+4x-2=0;

a=1;b=4;c=-2;D=b^2-4ac;D=4^2-4*1*(-2)=16+8=24=4*6=2^2*6

x_{1,2}=\frac{-4^+_-2\sqrt{6}}{2*1}=-2^+_-\sqrt{6}

Приложения:

Dashkiti: спасибо
Вас заинтересует