• Предмет: Алгебра
  • Автор: vladislavfesenko696
  • Вопрос задан 3 года назад

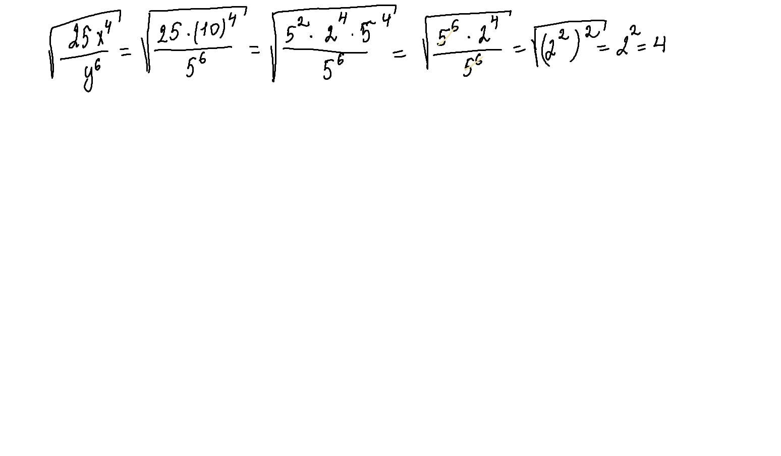
Найдите значение выражения
Корень 25x^4/y^6 при x=10 y=5

Ответы

Ответ дал: cactus212121
0

Відповідь:

Пояснення:

Приложения:
Вас заинтересует