Ответы
Ответ дал:
1
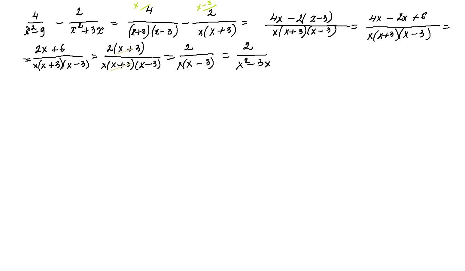
Відповідь:
Пояснення:
Приложения:

kapitoha25:
сорян-ба, но я уже сам сделал, и более кратко)
Ответ дал:
0
Ответ:
Объяснение:
Вас заинтересует
2 года назад
2 года назад
7 лет назад
7 лет назад
9 лет назад
9 лет назад