Ответы
Ответ дал:
0
Доброго времени суток. Решение во вложении
Приложения:

Ответ дал:
0
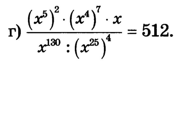
Ответ:
x = 2
Объяснение:
x = 2
Вас заинтересует
2 года назад
2 года назад
2 года назад
2 года назад
7 лет назад
7 лет назад