Решите задачу
В електричному самоварі потужністю 600 Вт і електричному чайнику потужністю 300 Вт при вмиканні в мережу напругою 220 В, на яку вони розраховані, вода закипає одночасно через 20 хв. Визначте, через скільки часу закипить вода в самоварі і чайнику, якщо їх з’єднати послідовно і включити в мережу.
Ответы
Ответ дал:
1
Ответ:
Объяснение:
P1 = 600 Вт
P2 = 300 Вт
U = 220 В
t1 = t2 = 20 хв. = 1200c
t3 = ?
необходимое количество энергии для кипячения воды
Q = P1*t1 + P2*t2 = t1*(P1+P2) = 1200*(600+300) = 1080000 Дж
Сопротивление приборов
R1 = U^2 / P1 = 220^2 / 600 == 80.7 Вт
R2 = U^2 / P2 = 220^2 / 300 == 161.3 Вт
Найдем время
Q = t3*U^2/ (R1+R2)
t3 = Q*(R1+R2) / U^2 = 1080000*(80.7+161.3) / 220^2 = 4731 c == 1.3 часа == 1 час + 19 минут
yafoxxx:
Благодарю!
Ответ дал:
2
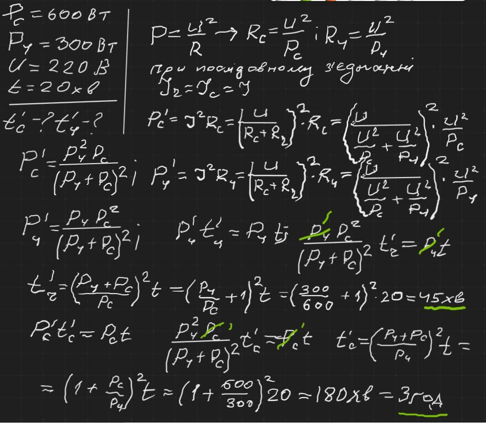
Відповідь: у самоварі через 3 год, у чайнику через 46 хв
Пояснення:
Приложения:

Вас заинтересует
2 года назад
2 года назад
2 года назад
7 лет назад
7 лет назад