• Предмет: Алгебра
  • Автор: ralige9
  • Вопрос задан 3 года назад

ПОМОГИТЕ СРОЧНО ПРОШУУУУУ
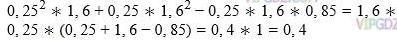
0,25²•1,6 +0,25•1,6²-0,25•1,6•0,85

Ответы

Ответ дал: majkmajk997
0

ответ на фотографии

Объяснение:

Приложения:
Вас заинтересует