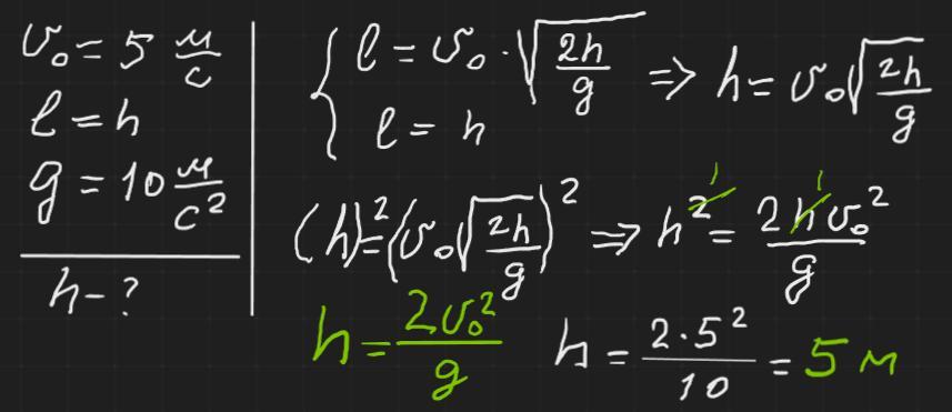
Дальність польоту тіла, яке кинуто горизонтально зі швидкістю 5 м/с, дорівнює висоті, з якої кинули тіло. Чому дорівнює ця висота?
Ответы
Ответ дал:
0
Відповідь: 5 м
Пояснення:
Приложения:

Вас заинтересует
2 года назад
2 года назад
2 года назад
7 лет назад