• Предмет: Алгебра
  • Автор: gregari43
  • Вопрос задан 3 года назад

ВПР по математике
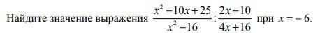
найдите значение выражения х2-10х+25/х2-16:2х-10/4х+16 при х=-6

Приложения:

Ответы

Ответ дал: svetlanavaslarionova
4

Ответ:

(х²-10х+25)/(х²-16):(2х-10)/(4х+16)

(х-5)²/(х-4)(х+4):2(х-5)/4(х+4); деление заменим умножением: (х-5)²/(х-4)(х+4)•4(х+4)/2(х-5);

сократим (х-5)² и(х-5);(х+4)и(х+4);4и2; получим:2(х-5)/(х-4): подставим вместо х -6,получим: 2(-6-5)/(-6-4)= -22/-10=-11/-5=11/5=2 1/5


gregari43: спс
Вас заинтересует