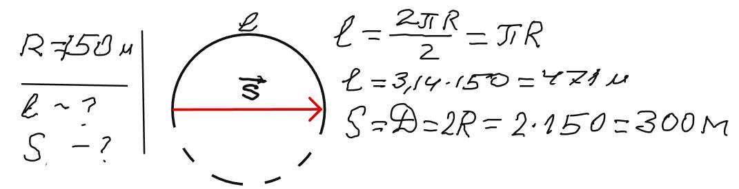
. Автобус рухається по кільцевій дорозі радіусом 150 м. Визначте шлях і модуль переміщення автобуса, що проїхав півкола
Ответы
Ответ дал:
5
Відповідь: ≈ 471 м 300 м
Пояснення:
Приложения:

Вас заинтересует
2 года назад
7 лет назад
7 лет назад
9 лет назад