Ответы
Ответ дал:
1
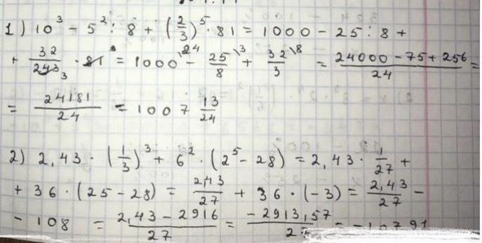
Вот смотри на фото ответ
Приложения:

n351152:
спасибо
Вас заинтересует
2 года назад
2 года назад
7 лет назад
7 лет назад
9 лет назад