• Предмет: Геометрия
  • Автор: alonasavkina22
  • Вопрос задан 3 года назад

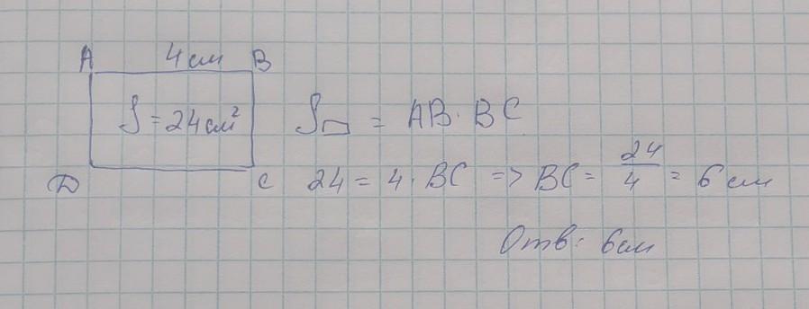
Дано прямокутник ABCD, сторона АВ=4см,а площа -24см².Знайдіть другу сторону​

Ответы

Ответ дал: cor1eone
2

Доброго времени суток. Решение во вложении

Приложения:

Аноним: Помогите, пожалуйста, с алгеброй ) Дам лучший ответ) Очень срочный)
didenkovika: Здравствуйте! Мне тоже нужна ваша помощь... пожалуйста,посмотрите задачу по геометрии... Спасибо!
Вас заинтересует