• Предмет: Алгебра
  • Автор: akmdnepr
  • Вопрос задан 3 года назад

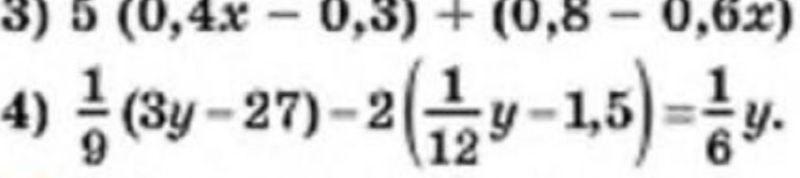
Найдите равенство: (4 задание по фото)

Приложения:

Ответы

Ответ дал: iramazurk
1

Объяснение:

1/9(3у - 27) - 2(1/12у - 1,5) = 1/6у

3/9у - 27/9 - 2/12у + 3 = 1/6у

1/3у - 3 - 1/6у + 3 = 1/6у

1/3у - 1/6у = 1/6у

2/6у - 1/6у = 1/6у

1/6у = 1/6у

Ответ дал: dyexfnf
1

Ответ:

Объяснение:

1/9 *(3у - 27) - 2 *(1/12у - 1,5) = 1/6у

1/3у - 3 - 1/6у + 3 = 1/6у

1/3у - 1/6у = 1/6у

2/6у - 1/6у = 1/6у

1/6у = 1/6у

Вас заинтересует