Ответы
                                            Ответ дал: 
                                                                                    
                                        
                                            
                                                
                                                
                                                
                                                    1
                                                
                                            
                                        
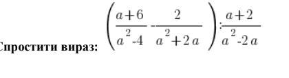
                                    Решение ниже на фото.
Приложения:
                    
                            
                    korneev64829:
                    Спасибо лучший !
                
            
                    
                    Тёски,никогда неподводят)
                
            
                    
                    Если можешь, то отметь решения как лучшие пж
                
            Вас заинтересует
                
                        2 года назад
                    
                
                        2 года назад
                    
                
                        2 года назад
                    
                
                        2 года назад
                    
                
                        7 лет назад