• Предмет: Алгебра
  • Автор: nastia1137
  • Вопрос задан 3 года назад

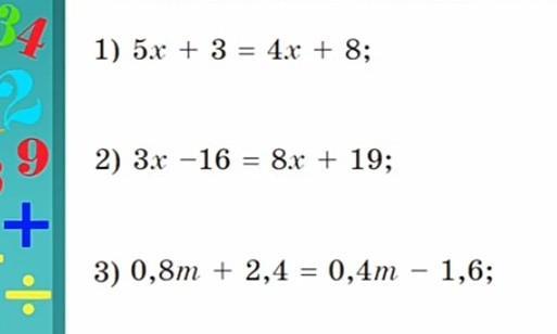
5X +3=4x+8 надо это срочно

Приложения:

Ответы

Ответ дал: 1Rezon1
2

Відповідь:

x = 5;

Поясненняz:

5x +3=4x+8

x = 5


nastia1137: спасибоооо
Ответ дал: ekaterinarybalkina
0
5х+3=4х+8
5х+4х=3+8
9х=11
х≈1,2

ekaterinarybalkina: не, это не правильно сейчас напишу правильно,
5х+3=4х+8
5х-4х=8-3
х=5
Вас заинтересует