• Предмет: Алгебра
  • Автор: alinkamivinkaa12
  • Вопрос задан 3 года назад

ПОМОГИТЕ С АЛГЕБРОЙ!

Приложения:

Ответы

Ответ дал: manyny06
1

Ответ:

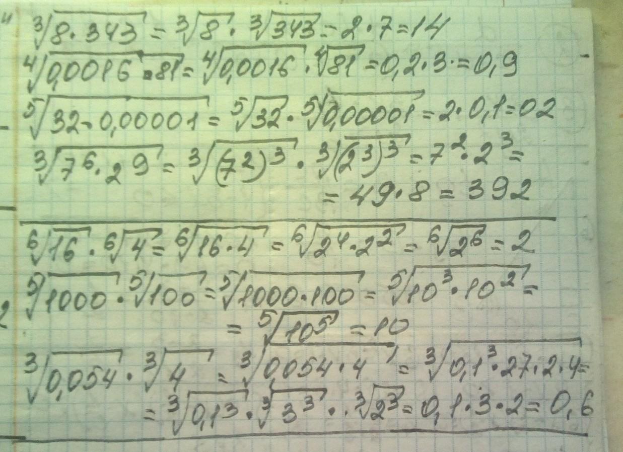
решение смотри на фотографии

Приложения:
Вас заинтересует