Ответы
Ответ дал:
0
Ответ:
....................
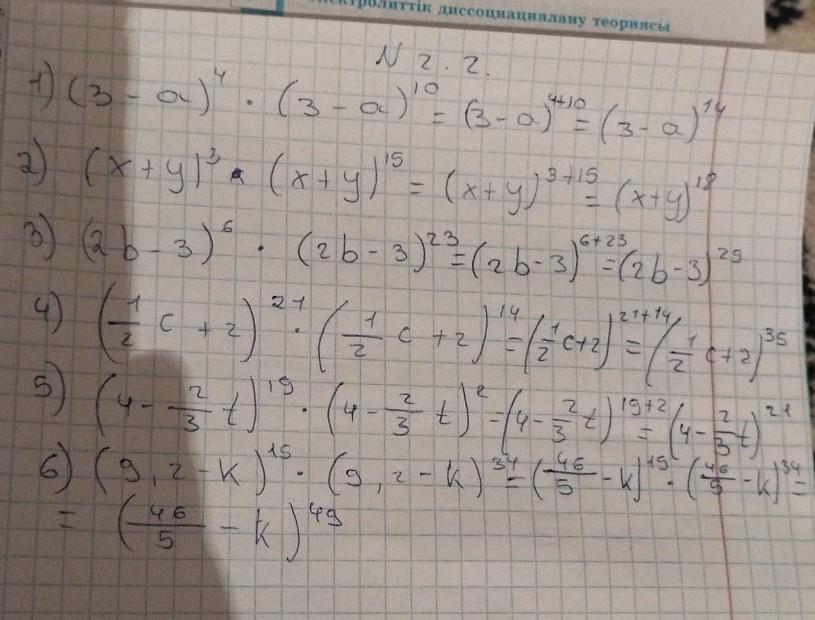
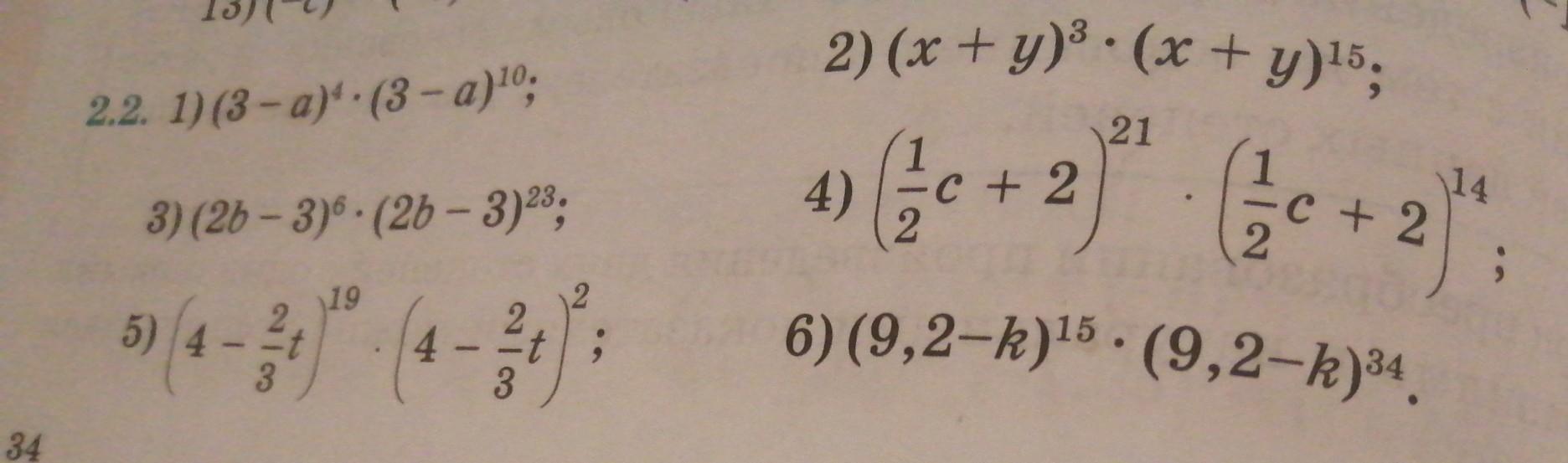
Приложения:

rdilnoza075:
Спасибо
Вас заинтересует
2 года назад
2 года назад
2 года назад
7 лет назад
9 лет назад
9 лет назад