• Предмет: Алгебра
  • Автор: artemlebeskii48
  • Вопрос задан 3 года назад

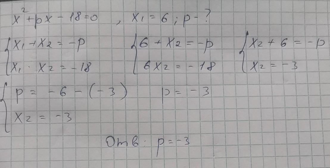
х^2+px-18=0 , Теорема Вієта. x1 = 6, p - ?

Ответы

Ответ дал: cor1eone
1

Доброго времени суток. Решение во вложении

Приложения:
Вас заинтересует