• Предмет: Алгебра
  • Автор: Аноним
  • Вопрос задан 3 года назад

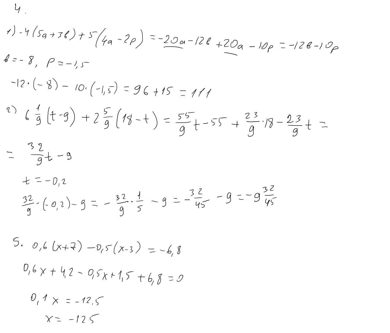
4 і 5зробити пжжжжжж

Приложения:

Аноним: ??
Аноним: спасибо огромное
Аноним: а ти есть в тг
Аноним: ??
Warlock1: есть, но я уже не школьник, если шо
Аноним: может в тг. поможеш зделать геометрию
Аноним: пжжж
Аноним: ?помодеш зделать географіюю
Аноним: пожалуста
Warlock1: геометрию я могу, географию вряд ли)))

Ответы

Ответ дал: Warlock1
1

Ответ:

ну так

Объяснение:

Приложения:
Вас заинтересует