• Предмет: Алгебра
  • Автор: ritaperepelica7
  • Вопрос задан 3 года назад

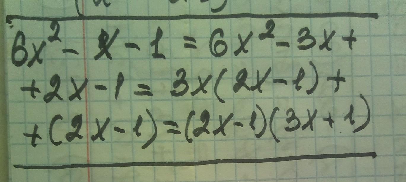
розкладіть на множники тричлен

6x^2-x-1
срочно пожалуйста!!!!!!

Ответы

Ответ дал: manyny06
0

Ответ:

решение смотри на фотографии

Приложения:
Вас заинтересует