Пожалуйста срочно помогите нужно сделать номер 6... даю 15 баллов за правильный ответ.
Приложения:

Ответы
Ответ дал:
1
Пошаговое объяснение:
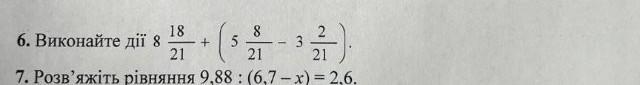
1) 5 8/21 - 3 2/21 = 2 6/21
2) 8 18/21+ 2 6/21 = 11 3/21
solomiiatsupko:
спасибо!!!
Вас заинтересует
2 года назад
2 года назад
2 года назад
7 лет назад
7 лет назад
9 лет назад
9 лет назад