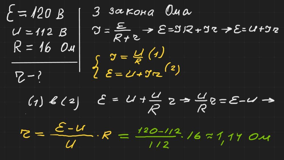
Рушійна сила джерела ЕРС 120 В, падіння напруги на споживачу 112 В. Визначити опір джерела ЕРС, якщо опір навантаження 16 Ом.
Ответы
Ответ дал:
1
Відповідь: ≈ 1,14 Ом
Пояснення:
Приложения:

Вас заинтересует
2 года назад
2 года назад
2 года назад
7 лет назад
9 лет назад