• Предмет: Алгебра
  • Автор: Аноним
  • Вопрос задан 3 года назад

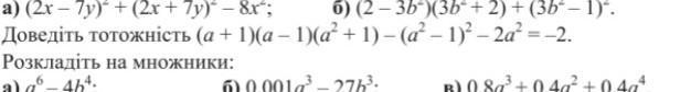
доведіть тотожність
(A + 1) × (a-1) × (a ² + 1)-(a ² −1) ²-2a² = -2 ×​

Приложения:

Ответы

Ответ дал: Universalka
1

\displaystyle\bf\\\underbrace{(a+1)(a-1)}_{a^{2}-1} (a^{2} +1)-(a^{2} -1)^{2} -2a^{2} =\underbrace{(a^{2} -1)(a^{2} +1)}_{a^{4}-1} -(a^{2} -1)^{2} -2a^{2} =\\\\\\=a^{4} -1-(a^{4} -2a^{2} +1)-2a^{2} =a^{4} -1-a^{4} +2a^{2} -1-2a^{2} =-2\\\\\\-2=-2

Тождество доказано


Аноним: дякую!!
Вас заинтересует