• Предмет: Физика
  • Автор: cc45111719
  • Вопрос задан 3 года назад

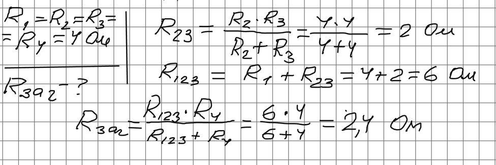
Всі резистори, з яких складається електричне коло, мають однаковий опір 4 Ом. Знайдіть загальний опір ділянки.
Срочно!!!​

Приложения:

Ответы

Ответ дал: zybkov1950
0

Відповідь: 2,4 Ом

Пояснення:

Приложения:
Вас заинтересует