• Предмет: Алгебра
  • Автор: whsqk
  • Вопрос задан 3 года назад

допоможіть будь ласка ​

Приложения:

Ответы

Ответ дал: brawlerdamik
0

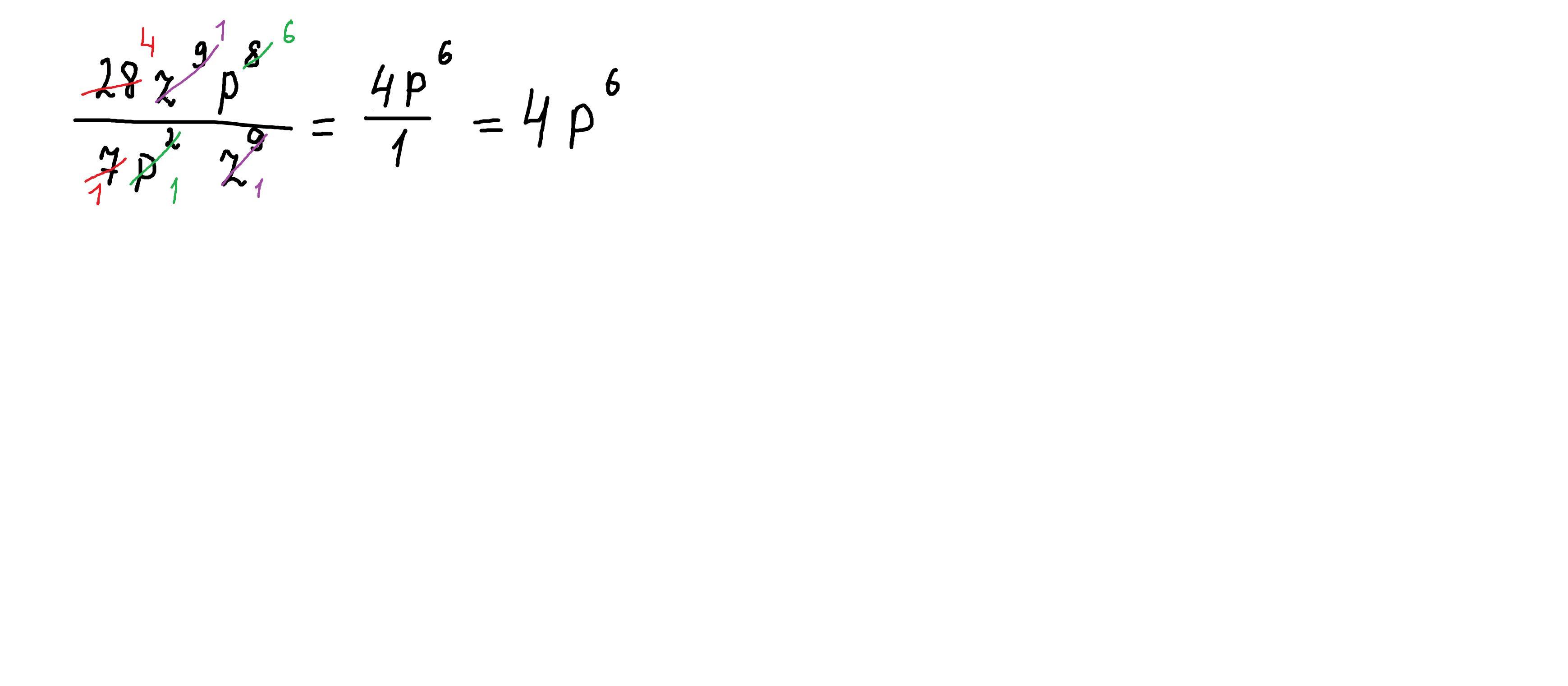
Ответ:

4p⁶

Объяснение:

a^n×a^m=a^(n+m)

а если разделить: а^n÷a^m=a^(n-m)

Тут у нас z⁹ исчезнет, и p⁸÷p²=p⁶.

Ответ дал: parus77
0

Ответ:

4р⁶

Объяснение:

при делении степеней с одинаковым основанием показатели отнимаются

Приложения:
Вас заинтересует