• Предмет: Математика
  • Автор: maneskinmylife
  • Вопрос задан 3 года назад

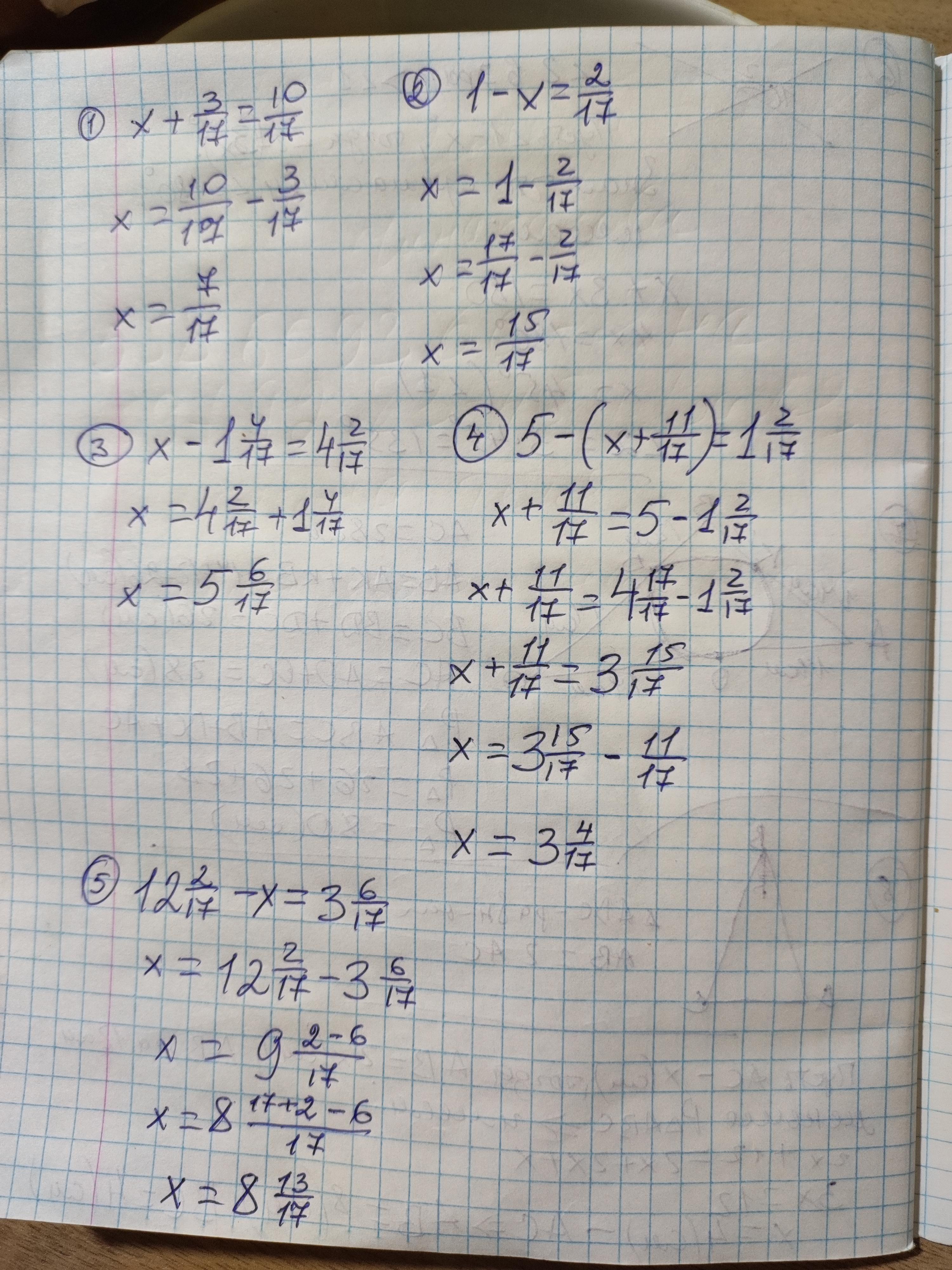
уравнения 5-6класс пж до 13:30 ​

Приложения:

Ответы

Ответ дал: tetamotatetyamotya
1

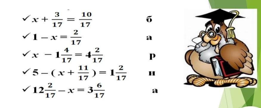
Ответ:вот

Пошаговое объяснение:

Приложения:
Вас заинтересует