ДОПОМОЖІТЬ ДАЮ 100 БАЛІВ!!! Скоротити дріб:
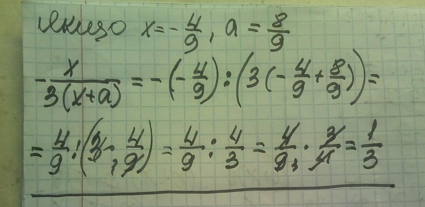
ax^2 -a^3 / 3x^3 -3a^2 x
Знайдіть його значення , якщо х= - 4/9, a= 8/9.
Написати як це вирішували .
Ответы
Ответ дал:
2
Ответ:
решение смотри на фотографии
Приложения:


0990334302d:
Большое спасибо
Вас заинтересует
2 года назад
2 года назад
2 года назад
2 года назад
9 лет назад
9 лет назад