• Предмет: Математика
  • Автор: bohdanshovkoplias17
  • Вопрос задан 3 года назад

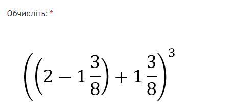
ШВИДКО!!! 60 БАЛІВ!!!

Приложения:

Ответы

Ответ дал: hristuka927
2

Пошаговое объяснение:

все на фото есть)))))))))))

Приложения:
Вас заинтересует