• Предмет: Алгебра
  • Автор: dashaLusa
  • Вопрос задан 3 года назад

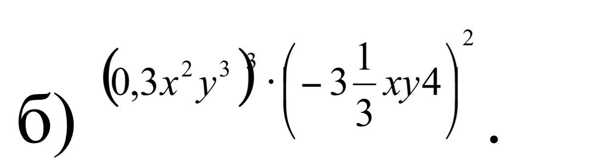
Спростіть вираз,даю усі бали!!

Приложения:

Ответы

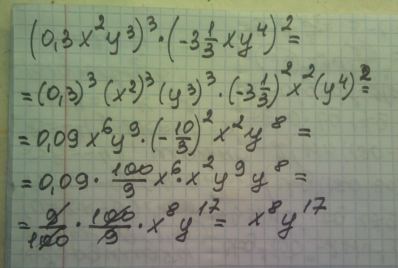
Ответ дал: manyny06
1

Ответ:

решение смотри на фотографии

Приложения:

dashaLusa: Боже спасибо выручили!!
Вас заинтересует