Ответы
Ответ дал:
1
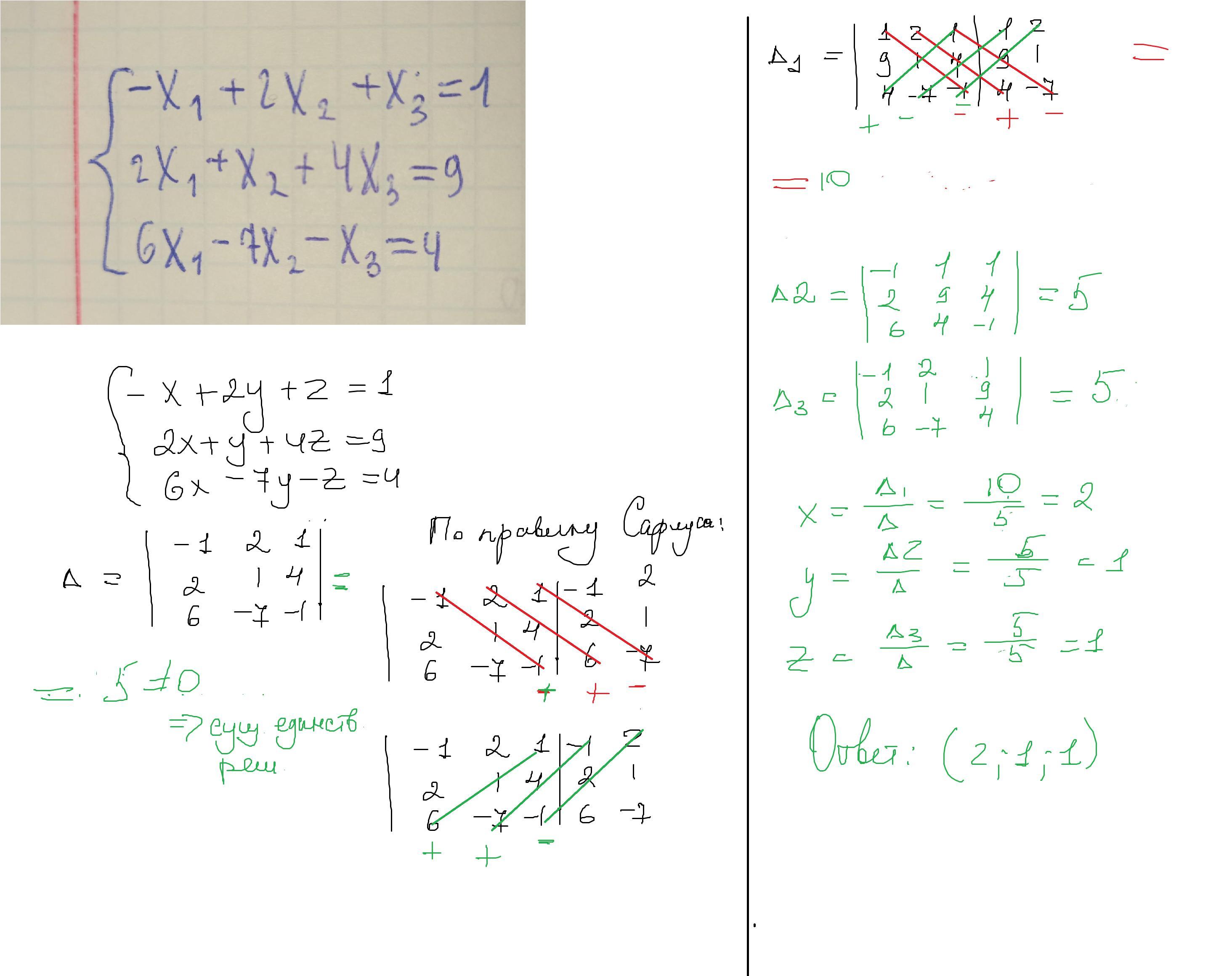
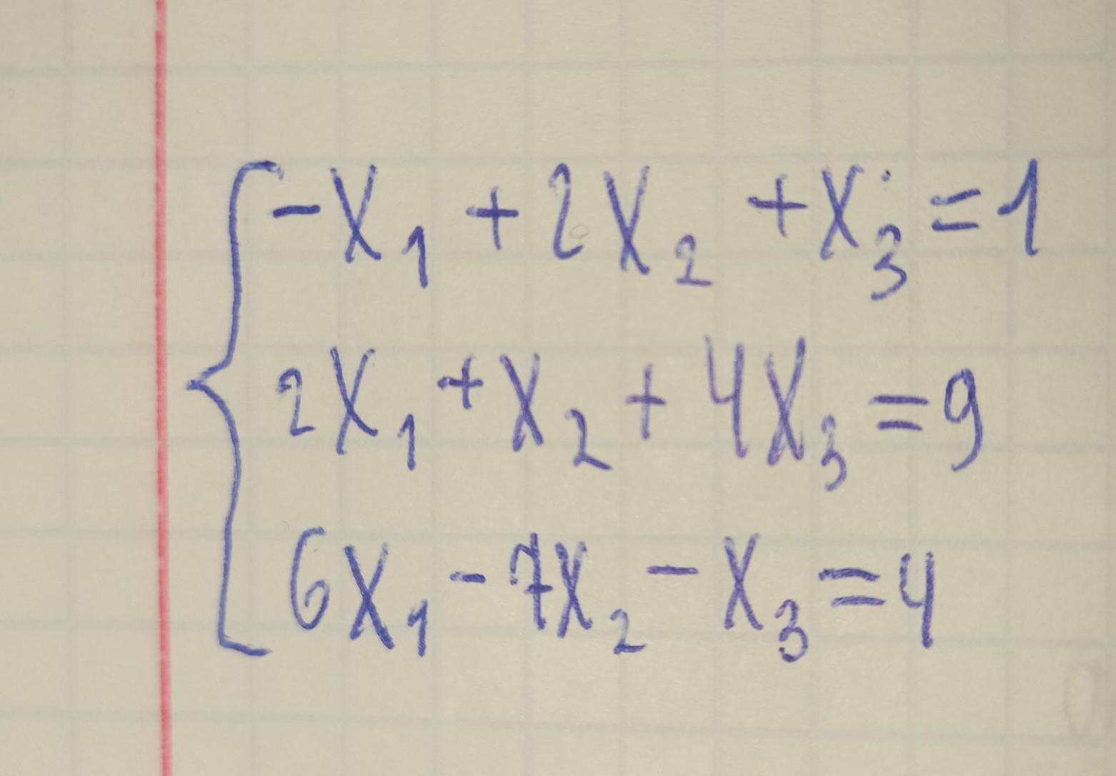
Ответ: см картинку (решено через матрицы + правило сариуса)
Объяснение:
Если нужен другой метод, то сложи первое и третье уравнение и выражай через него все переменные.
Приложения:

shmurvl:
Примечание: правильно называется правило "Саррюса". Очепятка)
Вас заинтересует
2 года назад
2 года назад
7 лет назад
9 лет назад
9 лет назад