• Предмет: Геометрия
  • Автор: varsabicloud
  • Вопрос задан 3 года назад

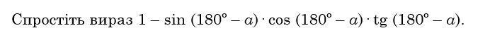
допоможіть будь ласка, завдання на фото: (написати тільки відповідь)

Приложения:

Ответы

Ответ дал: apspa
0
відповідь: cos(180-a)^2
Приложения:
Вас заинтересует