• Предмет: Алгебра
  • Автор: savickamilana0509
  • Вопрос задан 3 года назад

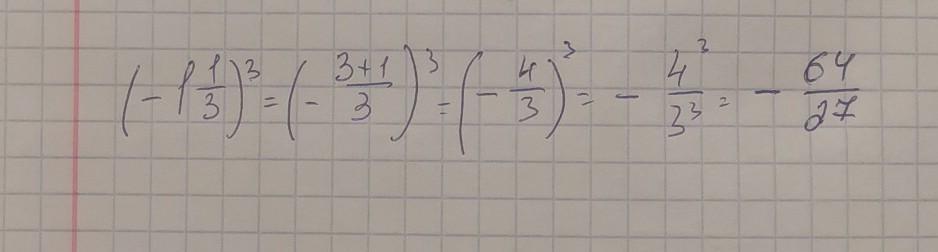
1Виконайте піднесення до степеня
то что на фото ​

Приложения:

Ответы

Ответ дал: manyny06
0

Ответ:

решение смотри на фотографии

Приложения:

savickamilana0509: спасибо
Ответ дал: cor1eone
0

Доброго времени суток. Решение во вложении

Приложения:
Вас заинтересует