• Предмет: Математика
  • Автор: ivantarariev12
  • Вопрос задан 3 года назад

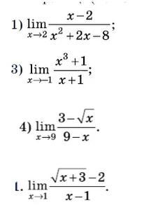
срочно помогите пожалуйста

Приложения:

Ответы

Ответ дал: manyny06
0

Ответ:

решение смотри на фотографии

Приложения:
Вас заинтересует