• Предмет: Физика
  • Автор: goncharvitalik935
  • Вопрос задан 3 года назад

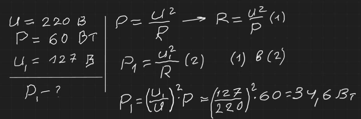
1. На лампі зазначено «220 В, 60 Вт». Якою буде потужність лампи, якщо її ввімкнути в мережу з напругою 127 В?​

Ответы

Ответ дал: zybkov1950
1

Відповідь: ≈ 34,6 Вт

Пояснення:

Приложения:

alina07182009: допоможіть будь ласказ хімією завдання в профілі даю 100 балів
Вас заинтересует