• Предмет: Физика
  • Автор: hhhkjhhgdftcf
  • Вопрос задан 3 года назад

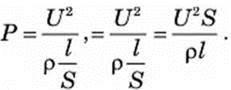
2. Ніхромова спіраль електроплитки довжиною 10 м і площею поперечного перерізу 0,25 мм включена в мережу з напругою 220 В. Знайдіть потужність струму в спіралі.

Ответы

Ответ дал: Buryak360
0

Ответ:

Объяснение:

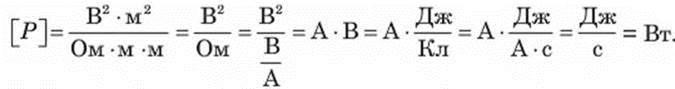
2) Відповідь. Р = 1100 Вт.

Приложения:
Вас заинтересует