• Предмет: Математика
  • Автор: djdjdjdjd83
  • Вопрос задан 3 года назад

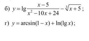
срочно! помогите, пожалуйста!

Приложения:

Ответы

Ответ дал: superrumba119
0

Ответ:

с чем помочь то ? нету условия же

Вас заинтересует