• Предмет: Алгебра
  • Автор: svetagurina249
  • Вопрос задан 3 года назад

Помогите пожалуйста, дам 20

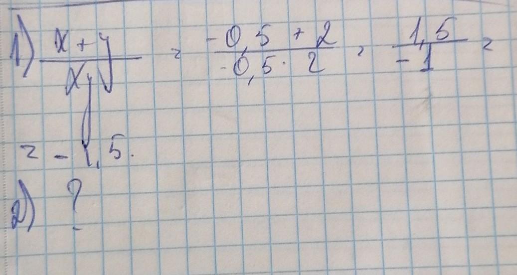
Приложения:

Ответы

Ответ дал: A17at
0

Объяснение:

1 я решил, 2 я не помню) удачи

Приложения:
Вас заинтересует