• Предмет: Алгебра
  • Автор: Soft18
  • Вопрос задан 3 года назад

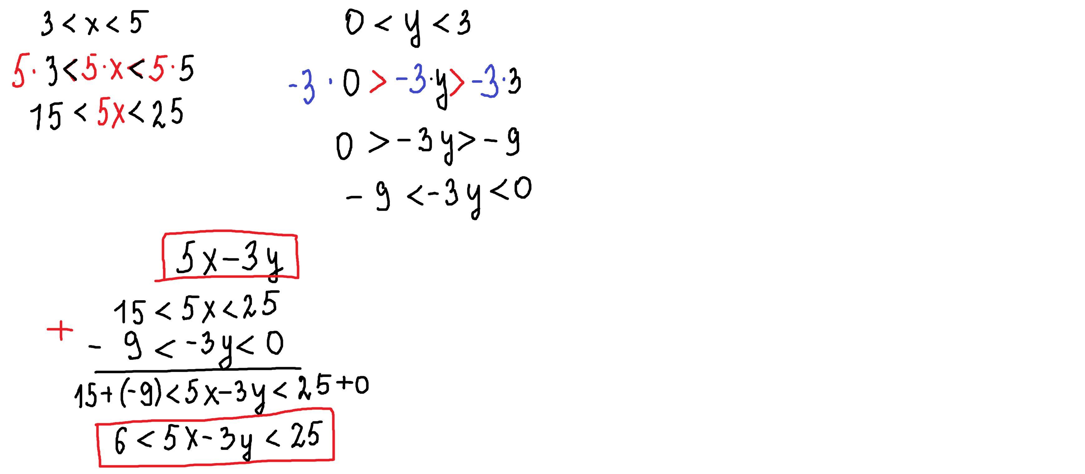
3<х<5 ; 0<у<3
5х-3у срочно с объяснением!!!!​

Ответы

Ответ дал: parus77
0

Ответ:

6<5x-3y<25

Объяснение:

сначала найдем 5х,для этого каждую часть неравенства умножим на 5.

потом найдем -3у,для этого каждую часть неравенства умножим на -3,знаки неравенства поменяются на противоположный(будут "смотреть" в другую сторону),потом запишем в более привычном виде

-9 < -3y <0.

Только после этого мы сможем записать 5х-3у ,представив это как сумму 5х и (-3у),сложим почленно каждые части неравенства

Приложения:
Вас заинтересует