• Предмет: Геометрия
  • Автор: qgm79mfwkh
  • Вопрос задан 3 года назад

Допоможіть виконати завдання

Приложения:

Ответы

Ответ дал: dashulka22222
0

Ответ:

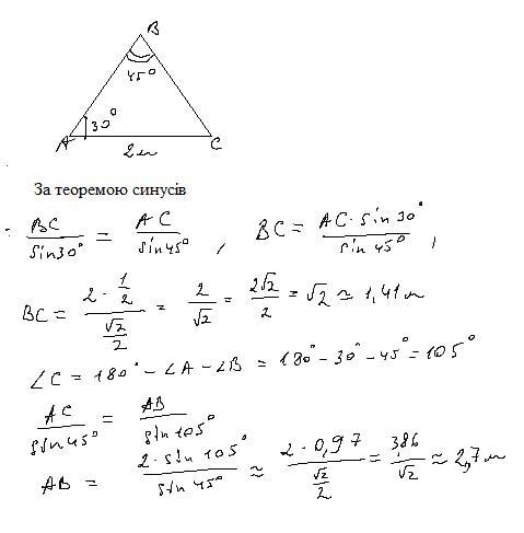
1,41 м та 2,7 м

Объяснение:

Приложения:
Вас заинтересует