физика легко?
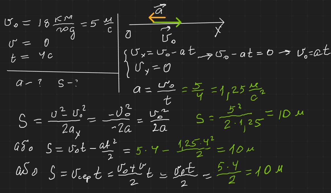
Тролейбус, рухаючись зі швидкістю 18 км/год, зупинився за 4 с. Визначте прискорення його
руху та гальмівний шлях тролейбуса.
Ответы
Ответ дал:
5
Відповідь: 1,25 м/с² 20 м
Пояснення:
Приложения:

Вас заинтересует
2 года назад
2 года назад
2 года назад
7 лет назад
9 лет назад
9 лет назад