• Предмет: Математика
  • Автор: dianablazeviciute200
  • Вопрос задан 3 года назад

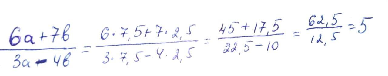
Найди значение алгебраического выражения a = 7,5, b = 2,5. Ответ: ба + 7b За - 4b если​

Приложения:

Ответы

Ответ дал: nanchic
0

Ответ:

Пошаговое объяснение:

Приложения:
Вас заинтересует