• Предмет: Математика
  • Автор: erket25
  • Вопрос задан 3 года назад

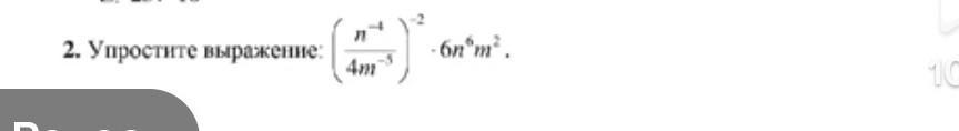
2. Упростите выражение: (n-⁴/4m-⁵)-² -6n m² помогите пожалуйста !!! даю 70 баллов​

Приложения:

Ответы

Ответ дал: manyny06
1

Ответ:

решение смотри на фотографии

Приложения:
Вас заинтересует