• Предмет: Алгебра
  • Автор: bsokyrka51
  • Вопрос задан 3 года назад

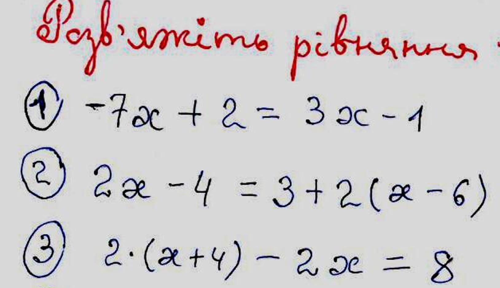
Розв'яжіть рівняння:

Приложения:

Ответы

Ответ дал: УчихаСaске
1

Ответ:

 - 7x + 2 = 3x - 1 \\  - 7x - 3x =  - 1 - 2 \\  - 10x =  - 3 \\ x =  - 3 \div ( - 10) \\ x = 0.3

2x - 4 = 3 + 2(x - 6) \\ 2x - 4 = 3 + 2x - 12 \\ 2x - 2x =  3 - 12 + 4 \\ 0 =  - 5

Неверное уравнение

2(x + 4) - 2x = 8 \\ 2x + 8 - 2x = 8 \\ 0 = 8 - 8 \\ 0  = 0

Уравнение имеет бесконечно много решений

Вас заинтересует