неужели математиков нету??? помогите, пожалуйста
упростить выражение
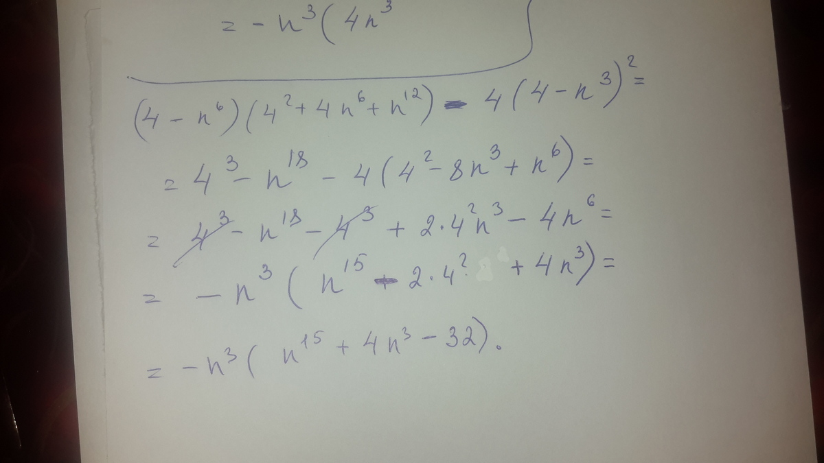
(4-n^6) (16+4n^6 +n^12) - 4(4-n^3)^2
^ - это возведение в степень
Ответы
Ответ дал:
0
""""""""""""""""""""""""""""""""""""""
Приложения:

Ответ дал:
0
такой длинный ответ может быть, да?
Ответ дал:
0
Вообще то нет
Ответ дал:
0
спасибо большое за помощь
Ответ дал:
0
Но другой не получается
Вас заинтересует
2 года назад
2 года назад
8 лет назад
10 лет назад
10 лет назад
10 лет назад