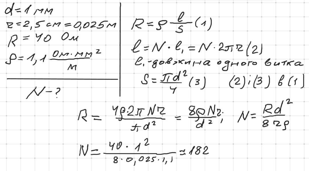
Скільки витків ніхромового дроту діаметром 1 мм треба намотати на порцеляновий циліндр радіусом 2,5 см щоб отримати резистор опором 40 Ом. Питомий опір нікрому 1,1 Ом мм²/м.
Ответы
Ответ дал:
1
Відповідь: 182
Пояснення:
Приложения:

Вас заинтересует
2 года назад
2 года назад
2 года назад
9 лет назад