• Предмет: Алгебра
  • Автор: LILYKET
  • Вопрос задан 3 года назад

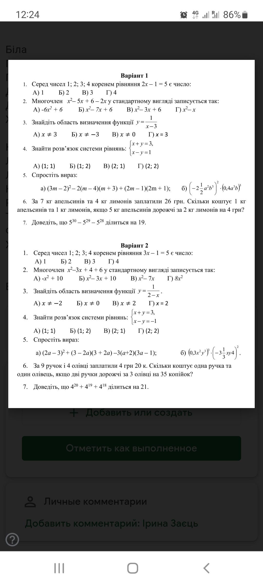
Будь ласка зробіть 2 варіант

Приложения:

Ответы

Ответ дал: su756866
0

Ответ:

1 б

2 б

3 в

4 б

дальше и хз

щущвщвззвжвжвжужужвв

Вас заинтересует