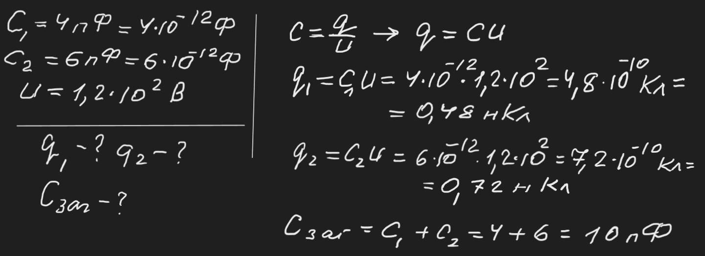
Два конденсатори з' єднанні паралельно C1= 4 пФ ,С2 = 6 пФ ,напруга
U=120B Визначити заряди на конденсаторах q1,q2, загальну ємність С?
помогите пожалуйста
Ответы
Ответ дал:
1
Відповідь: Див. додаток
Пояснення:
Приложения:

Вас заинтересует
2 года назад
2 года назад
2 года назад
7 лет назад
7 лет назад
9 лет назад